
土壤反射率是连接地表物理过程与遥感观测的重要桥梁,其变化受土壤水分、颗粒结构以及观测几何等多因素共同控制,是实现地表参数估算的关键基础。传统土壤辐射传输模型通常分别针对干土或湿土建立,且多忽略反射方向性效应,难以统一描述不同含水状态下土壤反射率在光谱与角度上的变化特征,制约了多角度遥感数据的定量应用。
为解决上述问题,本研究提出了一种统一的多角度高光谱土壤辐射传输模型(HBiM2)。该模型以物理机制为基础,将Hapke模型与BSM模型耦合用于刻画干土光谱和方向特性,并在MARMIT-2模型框架中引入角度效应,建立湿土水膜层多路径辐射传输过程,从而实现干湿土壤反射率的统一建模。研究基于多源实验数据(涵盖多种土壤类型、粒径及含水条件)对模型进行了系统验证。
核心发现如下:
1. 统一干湿土壤建模框架的建立
HBiM2模型在同一物理框架下统一描述干土与湿土反射特性,突破了传统土壤模型的局限,实现了光谱与方向信息的协同表达。
2. 角度效应在湿土建模中的关键作用
通过在水膜辐射传输过程中引入观测几何因素,模型能够有效刻画湿土反射率的方向性变化,显著提升了湿土条件下的模拟精度。
3. 揭示土壤“水分—结构—观测几何”协同机制
研究表明,土壤反射率并非单一因素控制,而是由土壤水分状态、土壤结构与观测几何共同作用形成的耦合响应,这一机制在不同土壤类型中具有一致性。
4. 显著提升土壤模型在多种条件下的模拟能力
在10种土壤质地、14种土壤粒径及不同土壤水分条件下,HBiM2模型在多种观测几何条件以及400–2400 nm光谱范围内均表现出较高精度(R² > 0.95,RMSE < 0.02),相较传统土壤模型具有明显优势。
本研究从机理上突破了土壤辐射传输建模的传统思路,提出了统一的角度、光谱和水分耦合辐射传输框架。通过引入湿土水膜方向性效应,有效提升了模型对复杂地表条件的表征能力。所发展的HBiM2模型为多角度遥感数据的定量应用提供了关键理论支撑。
Ding, A., Jiao, Z., Qi, J., Guo, J., Yang, P., Dong, Y., Zhang, X., Zhang, G., & Chen, J. M. (2026). HBiM2: A multi-angle hyperspectral soil radiative transfer model for simulating the reflectance of dry and wet soils. Remote Sensing of Environment, 339, 115381.
https://doi.org/10.1016/j.rse.2026.115381.
本研究以福建师范大学为第一完成单位。丁安心老师为论文第一作者,陈镜明院士为通讯作者,相关合作者对本研究亦作出重要贡献。研究工作得到国家自然科学基金和遥感科学国家重点实验室开放基金等项目资助(42301363 和 OFSLRSS202412)。

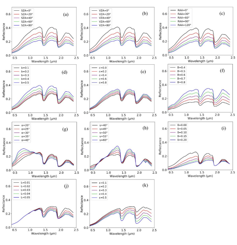
图1. HBiM2模型关键参数对土壤光谱反射率的影响。(a)太阳天顶角,(b)观测天顶角,(c)相对方位角;(d)土壤颗粒散射形状与分布参数 b,(e)土壤颗粒散射形状与分布参数 c,(f)土壤亮度参数 B,(g)土壤光谱形状参数 α,(h)土壤光谱形状参数 γ,(i)土壤颗粒体积分数 δ,(j)水膜厚度 L,(k)水膜覆盖比例 ε。图中展示了不同观测几何条件及关键物理参数变化对土壤光谱反射率的影响特征。

图2. 不同土壤粒径条件下干土(HB)模型的验证结果。基于BS04土壤样本,在三种典型观测几何条件下对HB模型进行验证:(a)0.027 mm,(b)0.225 mm,(c)0.45 mm,(d)0.8 mm,(e)1.2 mm,(f)2 mm。三种观测几何分别为:后向散射(黑色)、近天顶观测(红色)以及前向散射(蓝色)。图中实线表示干土实测反射率(M),虚线表示HB模型模拟结果(HB),用于对比不同粒径及观测条件下模型的拟合性能。

图3. 主平面方向上地面观测与HBiM2模型模拟结果对比。(a)红光波段,(b)近红外波段。图中红点表示地面实测数据,黑线表示HBiM2模型模拟结果,用于展示模型在不同波段下对土壤反射率方向性特征的刻画能力。

图4. 不同模型在0.4-2.4 μm光谱范围内的土壤反射率拟合精度对比。黑色、红色和蓝色分别表示BM2、BiM2和HBiM2模型。图中展示了三种模型在可见光至短波红外波段内对土壤反射率的拟合效果,对比评估了模型在光谱范围内的表现差异及HBiM2模型的改进优势。

图5. 不同模型在各类土壤质地下的反射率拟合精度对比。黑色、红色和蓝色分别表示BM2、BiM2和HBiM2模型。图中对比展示了三种模型在不同土壤质地条件下对土壤反射率的拟合效果,用于评估模型性能差异及HBiM2模型的改进优势。

图6. 不同模型在不同土壤含水量(SMC)条件下的反射率拟合精度对比。黑色、红色和蓝色分别表示BM2、BiM2和HBiM2模型。图中展示了三种模型在不同土壤含水量水平下对土壤反射率的拟合效果,对比评估了模型在湿度变化条件下的适用性及HBiM2模型的改进优势。